- Veterinary View Box
- Posts
- Which value should you use in Cavalier King Charles?
Which value should you use in Cavalier King Charles?
Journal of Veterinary Cardiology 2025
D. Caivano a, P. Ferrari b c, M. Rishniw d e
Background
Cavalier King Charles Spaniels (CKCS) are commonly affected by myxomatous mitral valve disease, for which left atrial-to-aortic root ratio (LA:Ao) is an important echocardiographic index used to assess severity. Prior reports suggested CKCS may have smaller LA:Ao values than other breeds, potentially requiring breed-specific reference limits. This study aimed to determine whether LA:Ao and other normalized cardiac dimensions differ in healthy CKCS compared to dogs of other breeds, and whether existing reference intervals are applicable.
Methods
This retrospective study analyzed echocardiographic data from 218 healthy adult CKCS and 379 healthy dogs of other breeds, all collected by observers contributing to the Osservatorio Veterinario Italiano Cardiopatie. Measurements of the left atrium (LA), aorta (Ao), and left ventricular internal dimension at end-diastole (LVIDd) were obtained from standard right parasternal short-axis views. Measurements were normalized to body weight using allometric scaling (exponents 0.333 and 0.294). The main outcome variables included LA:Ao, weight-based LA and Ao (wLA, wAo), and normalized dimensions (LADN, AoDN, LVIDdN). Reference intervals were computed, and comparisons between CKCS and control dogs were made using Mann-Whitney U-tests.
Results
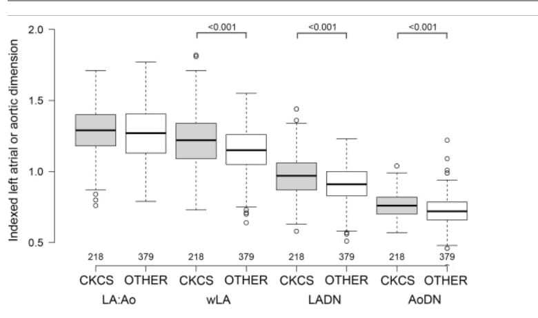
CKCS had a median LA:Ao of 1.29 with an upper reference limit of 1.6, consistent with existing generic reference values. They exhibited significantly larger normalized LA and Ao dimensions (LADN, AoDN) and wLA values than other breeds, but the LA:Ao ratio did not differ significantly. Observers did not introduce systematic bias in measurements. Notably, 10% of CKCS exceeded the LVIDdN threshold for ventricular enlargement using the traditional scaling exponent, suggesting a predisposition toward larger ventricular dimensions.
Limitations
This was a retrospective study relying on routine clinical data without standardized measurement protocols across all observers. Inter- and intra-observer variability was not formally assessed, though all contributors were credentialed veterinarians with periodic evaluations for consistency. Some observers contributed few measurements, limiting power to detect systematic biases. Imaging posture and acquisition methods were not controlled, potentially affecting comparability with studies that use different techniques (e.g., standing position).
Conclusions
Healthy CKCS do not have smaller LA:Ao ratios than other breeds, and generic reference intervals, including the commonly used LA:Ao threshold of 1.6, are appropriate for this breed. Although normalized LA and Ao dimensions are marginally larger in CKCS, these differences are not clinically significant. The study also reinforces that CKCS frequently have LVIDdN values exceeding general thresholds for ventricular enlargement, suggesting current criteria may overdiagnose ventriculomegaly in this breed.

Box and whisker plots for measurements of left-atrial-to-aortic ratios (LA:Aos), left atrium indexed to a weight-based left atrial dimension (wLA), and left atrial (LA) and aortic (Ao) dimensions indexed to bodyweight (LADN0.333, AoDN0.333) obtained from 218 apparently healthy adult Cavalier King Charles spaniels (CKCSs) and 379 healthy adult dogs of various breeds. Horizontal lines represent median values for each group, and whiskers represent data within 1.5∗IQR of the respective quartiles. IQR: interquartile range.
How did we do? |
Disclaimer: The summary generated in this email was created by an AI large language model. Therefore errors may occur. Reading the article is the best way to understand the scholarly work. The figure presented here remains the property of the publisher or author and subject to the applicable copyright agreement. It is reproduced here as an educational work. If you have any questions or concerns about the work presented here, reply to this email.